This assignment is 50 points of your overall grade.
The problems in this assignment exercise high- and low-level functional programming concepts, including the use of functions as both arguments and return values from other functions.
You are asked to construct several function definitions in rex and test them. You should submit your functions in a single file named hw2.rex. As in assignment 1, commenting your functions and your file are important. The grading of this assignment is similar to assignment 1. As you write functions to solve these problems, however, it is a good idea (and very much the spirit of rex and functional programming) to try to devise programs as elegant and concise as possible. In a conflict between elegance and readbility, however, readability should win... .
For an example of a thoroughly commented function, look at the file
insert.rex in the directory /cs/cs60/assignments/a2.
You will want to have read to Chapter 3 (rewrite rules are formally presented in Chapter 4, however) You may also want to experiment with functions returning functions and anonymous functions in rex.
Test cases for each of these problems appear in the directory
/cs/cs60/assignments/a2 . The names of the test-case files
are p?test.rex, where ? is 1, 2, 3, 4, 5, or 6.
rex > erdos(42);
21
rex > erdos(109);
328
// Here I'm using the erdos function from the example above. // since the first argument is 1, the desired result is erdos(3), // which is 10. rex > iterate(1, erdos, 3); 10 // Hey, now I'm iterating twice and computing erdos(erdos(3)) rex > iterate(2, erdos, 3); 5 // And this is finding erdos(erdos(erdos(3))) rex > iterate(3, erdos, 3); 16 // Iterating the add1 function twice is equivalent to adding 2. rex > iterate(2, add1, 9); 11
erdos(erdos(erdos(3))) = 16.Continuing in this way,
erdos(erdos(erdos(erdos(erdos(erdos(erdos(3))))))) = 1with erdos iterated 7 times. Thus, collapse([3]) == [7]. Further examples of collapse in action include
rex > collapse([3, 10, 5, 16]); [7, 6, 5, 4] rex > collapse([129, 55, 85]); [121, 112, 9]Will every positive integer collapse to 1? No one knows, though many mathematicians have worked on it. The mathematician Paul Erdos actually felt that "mathematics is not yet ready for such problems" as this, known as the "3x+1" problem. Check out the site http://www.paulerdos.com/0.html for more on Paul Erdos.
// Include the file with the scoring tables
rex > sys(in,"/cs/cs60/assignments/a2/letterScoring.rex");
// Let scrabbleScorer be bound to the function created by
// createScorer in this case.
rex > scrabbleScorer = createScorer(scrabble);
1
rex > scrabbleScorer("rex");
10
// In this case the function output by createScorer is used immediately.
rex > createScorer(letterOrder)("ronaldwilsonreagan");
202
// To demonstrate, I'll first define two functions called foo and goo.
rex > foo(X) => 2*X + 1;
foo
rex > goo(X) => 3*X - 2;
goo
// Now, envelope(foo, goo) returns a function and here we let moo
// represent that function.
rex > moo = envelope(foo, goo);
1
// Now, let's evaluate the function moo with input of 5.
rex > moo(5);
13
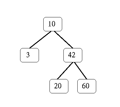
[ rootValue, leftSubtree, rightSubtree ]. The
rootValue will always be an integer, and the left and right
subtrees are binary search trees. Write the function delete(X,
T) that takes a value X and a list T representing a
binary search tree and returns a binary search tree with all of the elements
of T except with X removed. You can assume that
X is definitely in the tree T. For example, the list
[10, [3, [], []], [42, [20, [], []], [60, [], []] ] ]represents the tree

rex > mytree = [10, [3, [], []], [42, [20, [], []], [60, [], []] ] ]; 1 rex > delete(10, mytree); [20, [3, [], []], [42, [], [60, [], []]]]