6.3 State Machines

“When the term machine is used in ordinary discourse, it tends to evoke an unattractive picture. It brings to mind a big, heavy, complicated object which is noisy, greasy, and metallic; performs jerky repetitive, and monotonous motions; and has sharp edges that may hurt one if he does not maintain sufficient distance… Our concern is with questions about the ultimate theoretical capacities and limitations of machines [and so] it is necessary to abstract away many realistic details and features of mechanical systems…

We ignore, in our abstraction, the geometric or physical composition of mechanical parts. We ignore questions about energy. We even shred time into a sequence of separate, disconnected moments, and we totally ignore space itself! Can such a theory be a theory of any ‘thing’ at all? Incredibly, it can indeed.” - Marvin Minsky, Computation: Finite and Infinite Machines

Our fundamental model of computation in this class will be the state machine.

A state machine is (a formal specification of) any system that can be in different states/configurations at different times, and which can change its state/configuration depending on external events (user input, time passing, etc.).

Example

  1. Most notably, any modern digital computer is a state machine. The “state” of the machine at any instant includes the state of all the bits in memory, the bits on the disk, the bits in CPU registers, etc. As computation progresses, the CPU changes these bits, and the system transitions from one state to the next.
  2. A computer game can be viewed as a state machine. The state of the system includes all the information about the current game state, e.g., the current level, the position and possibly velocity of the player and other game entities, and (in general) any information that we’d need to remember in order to resume the game if the user wants to temporarily pause the game and continue it at a later time. How the state changes depends on the passage of time and the player’s actions.
  3. A vending machine can be viewed as a state machine. The state of the system includes (at least) the number and position of the items being sold, the contents and capacity of the change collection and dispensing units. In normal circumstances, this system changes its state only when customers interact with the machine.

Deterministic State Machines

We say that a state machine is deterministic if, given the current state and an external event, there is a unique next state (determined by the current state and the specific event) of the system. More formally:

Definition

A Deterministic State Machine is a 5-tuple \((Q, \Sigma, \delta, q_0, F)\) where > >- \(Q\) is a nonempty set.
> The elements of \(Q\) are called states; each corresponds to a potential configuration of the machine. >- \(\Sigma\) is an alphabet (a nonempty finite set).
> Elements of \(\Sigma\) represent possible events or inputs. >- \(\delta : Q \times \Sigma \to Q\) is the transition function.
> A system in state \(q\) that sees input \(a\) will change its state to \(\delta(q,a)\). >- \(q_0 \in Q\) is the start state. >- \(F \subseteq Q\) is the set of final (or accepting) states.

Definition

We say that a deterministic state machine \(M=(Q, \Sigma, \delta, q_0, F)\) accepts a string \(w\in\Sigma^*\) if following transitions (using \(\delta\)) starting from \(q_0\) according to the successive letters of \(w\) we end up in a state in \(F\). > More formally, \(M\) accepts a string \(w\in\Sigma^*\) if \(\mathsf{accept}(q_0, w)\) is true, where the \(\mathsf{accept}\) predicate is defined recursively as follows: >\[ >\begin{array}{lcl} > \mathsf{accept}(q, \epsilon) & \mathrm{if} & q\in F \\ > \mathsf{accept}(q, aw ) & \mathrm{if} & \delta(q, a) = q' \mathrm{\ and\ } \mathsf{accept}(q', w)\\ > \end{array} >\] >Given a state machine \(M\), its language \(L(M)\) is defined to be the set of all strings accepted by the machine, i.e., >\[ >L(M) := \{\ w\in\Sigma^*\ |\ \mathsf{accept}(q_0, w)\ \}. >\] It follows that \(M\) accepts \(w\) iff \(w\in L(M)\).

DFAs

Definition

A Deterministic Finite State Machine (DFSM), also known as a Deterministic Finite Automaton (DFA), is a deterministic state machine \(D=(Q, \Sigma, \delta, q_0, F)\) where the set of possible states \(Q\) is finite.

Example

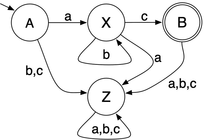
For small DFAs, it’s common to specify the components of the state machine visually: > >A four-state DFA > >- The states are represented by circles, so \(Q =\{A,X,B,Z\}\) >- The alphabet is the labels of the arrows, so \(\Sigma = \{a,b,c\}\) >- The arrows show the transition relation, so \(\delta(A,a)=X\), \(\delta(A,b)=Z\), \(\delta(X,b)=X\), etc. >- The start state has an extra incoming arrow, so \(q_0 = A\) >- States drawn with a double circle are final, so \(F = \{B\}\)

Example

This same DFA > A four-state DFA > >- does not accept abb, because the transitions take us from the start state \(A\) to \(X\) to \(X\) to \(X\), and \(X\) is not an accepting state. >- does accept abc, because the transitions take us from \(A\) to \(X\) to \(X\) to \(B\), and \(B\) is an accepting state. >- does not accept abca, because the transitions take us from \(A\) to \(X\) to \(X\) to \(B\) to \(Z\), and \(Z\) is not an accepting state.

Example

A two-state DFA

This DFA accepts any string of 0’s and 1’s that contains an even number of 0’s (by using different states to keep track of whether it has seen an even number of 0’s so far, or an odd number of 0’s).

Example

An eight-state DFA

This DFA accepts any string in which 1 is the third to last character (by using different states to keep track of the three most-recently seen bits).

Nondeterministic Finite Automata (NFAs)

It can be useful to relax the requirement that our finite state machines be deterministic. A Nondeterministic Finite State Machine (NDFSM) or Nondeterministic Finite Automaton (NFA) allows a choice of possible next states for a given input, and it allows a change of state even in the absence of inputs. Further, given such a choice, an NFA can correctly “guess” which transition to take next!

Guessing is hard to implement directly, but we’ll see later that it’s possible to implement indirectly because any NFA can be simulated by a DFA (and hence, in principle, by a digital computer).

Definition

An NFA (Nondeterministic Finite Automaton) is a 5-tuple \((Q, \Sigma, \delta, q_0, F)\) where > >- \(Q\) is a nonempty finite set of states. >- \(\Sigma\) is an alphabet. >- \(\delta : (Q\cup\{\epsilon\}) \times \Sigma \to {\cal{P}}(Q)\) is the transition function.
> \({\cal{P}}(Q)\) is the powerset of \(Q\), the collection of all subsets of \(Q\).
> If the system is in state \(q\) and sees input \(a\), it can change its state to one of the elements of \(\delta(q,a)\). Alternatively, if the system is in state \(q\) it can spontanously transtition to any state in \(\delta(q,\epsilon)\) without seeing any input. >- \(q_0 \in Q\) is the start state. >- \(F \subseteq Q\) is the set of final (or accepting) states.

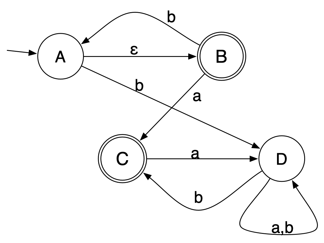
Example

For small NFAs, it’s common to specify the components of the state machine visually: > A four-state NFA > >- The states are represented by circles, so \(Q = \{A,B,C,D\}\) >- The alphabet is the labels of the arrows (other than \(\epsilon\)), so \(\Sigma = \{a,b\}\) >- The arrows show the transition relation, so \(\delta(A,a)=\emptyset\), \(\delta(A,b)=\ D\}\), \(\delta(A,\epsilon)=\{B\}\), …, \(\delta(D,a)=\{D\}\), \(\delta(D,b)=\{C,D\}\), \(\delta(D,\epsilon)=\emptyset\). >- The start state has an extra incoming arrow, so \(q_0 = A\) >- States drawn with a double circle are final, so \(F = \{B,C\}\)

Definition

An NFA \(N = (Q, \Sigma, \delta, q_0, F)\) accepts the string \(w\in\Sigma^*\) if it is possible to take transitions spelling out \(w\) (plus optionally transitions labeled \(\epsilon\) and get from the start state \(q_0\) to some accepting state in \(F\). > The language \(L(N)\) of NFA \(N\) is the set of strings accepted by \(N\).

Example

This same NFA > >A four-state NFA > >- accepts bb via the path \(A\), \(D\), \(C\). > > Note: it doesn’t matter that there are other paths spelling out bb that don’t accept, such as \(A\), \(D\), \(D\); an NFA accepts if at all possible, so as long as one accepting path exists, the string is accepted! >- accepts b via the path \(A\), \(B\) (via \(\epsilon\)), \(A\), \(B\) (via \(\epsilon\) again). > > This path spells out \(\epsilon b \epsilon\), but that’s just the same string as \(b\), because a string doesn’t change when you append an empty string. > - accepts aaab via the path \(A\), \(B\) (via \(\epsilon\)), \(C\), \(D\), \(C\). >- accepts ba via the path \(A\), \(B\) (via \(\epsilon\)), \(A\), \(B\) (via \(\epsilon\) again), \(C\). >- does not accept aa because there is no path from \(A\) to an accepting state that involves two a transitions (even allowing \(\epsilon\) transitions).

Example

NFAs can be much smaller than the equivalent DFA. To determine whether the third-to-last digit of a binary input is 1, the DFA above required eight states. An NFA can do the same job in four states: > Another four-state NFA > This NFA stays until the start state until all but the last three bits have been read; if the third-to-last bit is a 1, it can then transition to an accept state. > If we wanted to know the fourth-to-last digit, a DFA would require 16 states, whereas an NFA would require only five. If we wanted the fifth-to-last digit, a DFA would require 32 states, whereas an NFA would require only six. In general, DFAs can be exponentially bigger than NFAs to do the same job.

Soon we will show that for any DFA there is a NFA with the same language, and vice-versa. But first, we need to define the notion of a Regular Language.

Previous: 6.2 String Theory

Next: 6.4 Regular Languages