Solution:

 

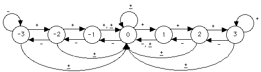
The state-transition diagram with encodings substituted is (where we have avoided showing self-loops on input 00):

We have labelled the transitions going into states where v is 1 with letters a, b, c, ...., h. These combinations will have to be implemented by the transition function for v. Below we plot those combinations on the hypercube.

Note also that there are no transitions out of state 100. Thus combinations of the form 100_ _ are don't cares. (However the combinations ending in 00 are not don't cares.)

Looping may be done as shown (this is not the only possibly looping). As a result, we get the following combinations:

loop	combination 
d X 	 v'w'xy' 
g c 	 v w x y' 
f h 	 u'vx'y 
b f 	 vw'x'y 
a e 	 v'wx'y 

The simplified expression for the next state of v is thus:

u'vx'y + v'w'xy' + v'wx'y + vw'x'y + v w x y'