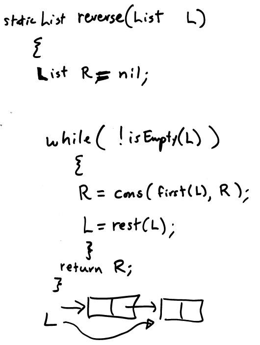
Link to IntList.java which shows these ideas in context.

To Next Slide To Previous Slide To Contents